华为禁令生效2021年的智能手机市场格局将遭遇大洗牌

美国BIS 8月17日对华为发布新禁令,从9月15日起,任何使用美国技术和软件生产的零配件,未经美国商务部许可,不得再运往华为。 TrendForce的半导体研究办公室指出,华为自2019年以来战略性地增加了美国制造零件的准备,希望在中美冲突加...

科技 胜象大百科 2023年03月19日 1
华为禁令生效2021年的智能手机市场格局将遭遇大洗牌

电动机保护器对提升机设备的保护范围是多少_电动机保护器对提升机设备的保护范围

介绍了提升机的不同保护措施,分析了提升机设备电动机保护器的保护范围。针对提升机设备,提出了DCS系统的定值优化和增加辅助保护的措施,并验证了可靠性,可以更准确地保护负荷设备。 0简介 我公司提升机等设备的电气保护主要是通过电机保护器来实现的,...

科技 胜象大百科 2023年03月19日 1
电动机保护器对提升机设备的保护范围是多少_电动机保护器对提升机设备的保护范围

如何计算手机电池充电时间_如何算手机电池充电时间

手机电池充电时间怎么算?手机电池充电时间自己算。手机电池应该充多久才能充满电?很多用户担心时间不够,电池电量不足,电池使用寿命可能会缩短;如果时间过长,可能会损坏手机和电池。 这里有一个简单的计算方法:方法:电池容量除以充电电流,然后乘以1.2...

科技 胜象大百科 2023年03月19日 1
如何计算手机电池充电时间_如何算手机电池充电时间

锐界2.7T发动机_五分钟了解国产锐界2.7T发动机

在翼搏和翼虎分别成为同级代表车型后,福特将在更高级别的SUV领域“大显身手”,其中大型SUV——锐界迎来了换代车型。值得一提的是,新一代将采用3排7座布局,并搭载全新2.7T EcoBoost涡轮增压发动机。今天本文就来分析一下福特锐界的2.7L...

科技 胜象大百科 2023年03月19日 1
锐界2.7T发动机_五分钟了解国产锐界2.7T发动机

小米MIX(2S发布时间确定_安兔兔跑分高达27万)

备受关注的小米MIX 2S在安兔兔公布了处理器跑分。据说这个数字堪比iPhone X的A11,处理器跑分高达273741。不仅如此,有机发光二极管屏幕也是亮点。 众所周知,去年小米绝对是最赚钱的手机品牌之一,他们还发布了旗下首款全面屏旗舰机型小...

科技 胜象大百科 2023年03月19日 1
小米MIX(2S发布时间确定_安兔兔跑分高达27万)

kvm切换器哪个牌子好用_kvm切换器哪个牌子好

1、AVOCENT哪个牌子的kvm切换器好? 全球知名KVM品牌,高端数字KVM全球占有率最高。它的主要客户是国际上的一些大企业,主要是中国的政府部门,但是价格高。在中国主要是代理销售,已被艾默生电气收购。 2、秦安科技中国 国内最早进入K...

科技 胜象大百科 2023年03月19日 1
kvm切换器哪个牌子好用_kvm切换器哪个牌子好

ThinkPad25th纪念版评测(品质依旧不止是情怀)

小黑粉一直在等ThinkPad 25周年纪念版。 说到商用笔记本电脑,相信大多数人脑海中浮现的第一个品牌是ThinkPad吧?自1992年ThinkPad第一款笔记本电脑ThinkPad 700C问世,到2017年,ThinkPad已经诞生25...

科技 胜象大百科 2023年03月19日 1
ThinkPad25th纪念版评测(品质依旧不止是情怀)

海思K3V2_华为四核处理器海思K3V2深度解析

海思K3V2是华为自主设计的四核处理器。号称是2012年业界最小的四核A9架构处理器。其主频高达1.2GHz/1.5GHz,采用35nm ARM架构。该处理器规格为12*12mm,生产工艺为TSMC 40 nm LP。 K3V2参数: 集成4...

科技 胜象大百科 2023年03月19日 1
海思K3V2_华为四核处理器海思K3V2深度解析

谷胱甘肽和虾青素区别? 谷胱甘肽对皮肤的功效

网上有很多关于谷胱甘肽和虾青素区别?的知识,也有很多人为大家解答关于谷胱甘肽对皮肤的功效的问题,今天小编为大家整理了关于这方面的知识,让我们一起来看下吧! 内容导航: 一、谷胱甘肽和虾青素区别? 二、谷胱甘肽 请问一下你使用谷胱甘肽皮肤白了没有...

科技 胜象大百科 2023年03月19日 1
谷胱甘肽和虾青素区别? 谷胱甘肽对皮肤的功效

硫代酸钠有什么用途? 硫代硫酸钠的作用是什么

网上有很多关于硫代酸钠有什么用途?的知识,也有很多人为大家解答关于硫代硫酸钠的作用是什么的问题,今天小编为大家整理了关于这方面的知识,让我们一起来看下吧! 内容导航: 一、硫代酸钠有什么用途? 二、TECHCROSS压载水处理系统中的硫代硫酸钠...

科技 胜象大百科 2023年03月19日 1
硫代酸钠有什么用途? 硫代硫酸钠的作用是什么

半胱氨酸高有什么危害 半胱氨酸高的危害

网上有很多关于半胱氨酸高有什么危害的知识,也有很多人为大家解答关于半胱氨酸高的危害的问题,今天小编为大家整理了关于这方面的知识,让我们一起来看下吧! 内容导航: 一、半胱氨酸高有什么危害 二、检查同型半胱氨酸有什么用,什么样的人需要检查同型半胱...

科技 胜象大百科 2023年03月19日 1
半胱氨酸高有什么危害 半胱氨酸高的危害

思科路由器配置基础(7个方面详解cisco路由器配置)

大家一定对思科路由器很熟悉。作为第一个国际化的企业,它的产品是众所周知的,但也正因为如此,大家对它的配置也是一头雾水。主要介绍了Cisco路由器的配置基础,并从各种状态、IP寻址、静态路由、RIP、DHCP、NAT等方面详细介绍了Cisco路由器...

科技 胜象大百科 2023年03月19日 1
思科路由器配置基础(7个方面详解cisco路由器配置)

特朗普要求TikTok9月15日前卖给美企(但英法德未跟风封禁TikTok)

(综合自央视新闻、环球网) 综合《纽约时报》、《国会山报》、法新社等多家媒体报道,继威胁“封杀”后,美国总统川普3日再次发出赤裸裸的威胁称,必须在9月15日之前将——蒂托克出售给美国,否则必须将其关闭,并将有相当一笔钱上交美国财政部,“因为是我...

科技 胜象大百科 2023年03月19日 1
特朗普要求TikTok9月15日前卖给美企(但英法德未跟风封禁TikTok)

什么降压药好? 长效降压药哪种效果好

网上有很多关于什么降压药好?的知识,也有很多人为大家解答关于长效降压药哪种效果好的问题,今天小编为大家整理了关于这方面的知识,让我们一起来看下吧! 内容导航: 一、什么降压药好? 二、请问高血压吃什么降压药效果好而且副作用小? 一、什...

科技 胜象大百科 2023年03月19日 1
什么降压药好? 长效降压药哪种效果好

人工智能在安防领域的发展趋势是什么_人工智能在安防领域的发展趋势

人工智能技术在安防领域的应用趋势如何?未来安防行业需要以文章图像信息作为打通各种异构信息的基础。基于大量的异构信息,充分利用机器学习、数据分析、挖掘等各种人工智能算法的优势,打造安防行业。创造更有利的价值。 随着经济环境、政治环境和社会环境的变...

科技 胜象大百科 2023年03月19日 1
人工智能在安防领域的发展趋势是什么_人工智能在安防领域的发展趋势

小米mix2相机像素_小米mix2拍照实测

很高兴第一时间拿到了尊享版。第一次用小米手机。我之前用过华为荣耀6P,用了三年多,确实卡。 之前用过小米的产品。我是批量购买的小米电视4,第一次体验。我也用过小米路由器3、。给父母买了两部红米4手机,给老婆买了小米5手机,彩虹电池,毛巾等。哪些...

科技 胜象大百科 2023年03月19日 1
小米mix2相机像素_小米mix2拍照实测

神舟十二号航天员将第二次出舱活动意味着什么?_神舟十二号航天员将第二次出舱活动

近日,据媒体报道,神舟十二号航天员将于近期择机进行第二次出舱活动,这将是神舟十二号航天员的第二次出舱活动。此前,神舟十二号宇航员已经成功完成了天河核心模块的管理,大机械臂的操作和货运飞船的物资转移。 早在今年4月29日,我国空间站核心舱成功发射...

科技 胜象大百科 2023年03月19日 1
神舟十二号航天员将第二次出舱活动意味着什么?_神舟十二号航天员将第二次出舱活动

日本机器人行业_日本工业机器人生产厂商整理介绍

机器人技术起源于美国,但在日本已经产业化。目前,日本制造的工业机器人在技术和应用方面处于世界领先地位。 众所周知,被称为机器人王国的日本是世界上最大的生产国和出口国,在2014年之前,也是世界上最大的使用国和消费国(目前被中国取代)。机器人技术...

科技 胜象大百科 2023年03月19日 1
日本机器人行业_日本工业机器人生产厂商整理介绍

数字孪生的本质_数字孪生背后的原因如何使用它们为企业提供价值

工业4.0被炒作了这么久,很容易忘记它是一个游戏改变者。不是因为工业物联网设备的泛滥预示着它的到来,而是因为企业实际上可以利用这些设备产生的数据去做一些事情。 简而言之,今天的IIoT设备收集了足够多的数据来驱动名为“数字双胞胎”的虚拟制造设备...

科技 胜象大百科 2023年03月19日 1
数字孪生的本质_数字孪生背后的原因如何使用它们为企业提供价值

人形机器人技术的发展与现状_人形机器人发展现状

仿人机器人的发展现状 人形机器人的概念由来已久。无论是在科幻小说还是电影中,我们经常可以看到人类与人形机器人共存共生的精彩场景。没有人不期待科幻电影里的人形机器人成为现实。 长期以来,人们听到人形机器人的消息往往会兴奋不已。这不,6月3日,马...

科技 胜象大百科 2023年03月19日 1
人形机器人技术的发展与现状_人形机器人发展现状

阿里巴巴 联合调查组_阿里巴巴辟谣中央联合调查组进驻阿里巴巴一事

针对外媒报道中央联合调查组进驻阿里巴巴一事,阿里巴巴声明:纯属造谣,我们将追究造谣者的责任。 今日阿里巴巴相关消息方面,北京商报今日记者注意到,除了已经持有银行存款产品的用户,目前支付宝在理财页面已经为未持有互联网存款的用户下线了银行存款产品。...

科技 胜象大百科 2023年03月19日 1
阿里巴巴 联合调查组_阿里巴巴辟谣中央联合调查组进驻阿里巴巴一事

吃了什么东西或者有什么原因,才会导致年轻人的同型半胱氨酸高? 半胱氨酸高怎么治

网上有很多关于吃了什么东西或者有什么原因,才会导致年轻人的同型半胱氨酸高?的知识,也有很多人为大家解答关于半胱氨酸高怎么治的问题,今天小编为大家整理了关于这方面的知识,让我们一起来看下吧! 内容导航: 一、我同型半胱氨酸27.27吃点什么药能降下...

科技 胜象大百科 2023年03月19日 1
吃了什么东西或者有什么原因,才会导致年轻人的同型半胱氨酸高? 半胱氨酸高怎么治

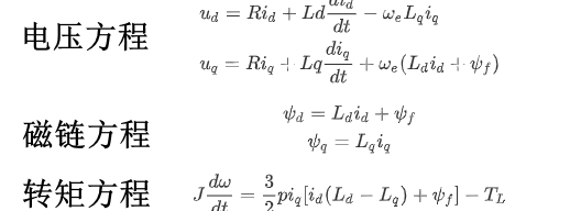
永磁同步电机检测方法_永磁同步电机的测量方法介绍

1.摘要 在永磁同步电机的控制中,无论是感应FOC还是无感应FOC,获得准确的电机参数都可以提高控制器和观测器的性能。在现代控制理论中,建立系统的数学模型是非常重要的,尤其是无感FOC中的观测器。理论上,电压方程、磁通方程、转矩方程中的物理量都...

科技 胜象大百科 2023年03月19日 1
永磁同步电机检测方法_永磁同步电机的测量方法介绍

UWB精准定位_UWB技术是如何做到室内精准定位的

UWB技术如何实现室内精确定位?作为室内定位技术的新贵,超宽带定位技术具有穿透力强、功耗低、抗干扰能力强、安全性高、系统简单、定位准确等特点,在室内定位领域有着广阔的应用前景。利用UWB技术,可以对室内静止或运动的人或物进行精确定位,在智能家居、...

科技 胜象大百科 2023年03月19日 1
UWB精准定位_UWB技术是如何做到室内精准定位的

工业级4g路由器用途_4G工业路由器与民用路由之间有什么区别

4G工业路由和民用路由有什么区别?今天我就带来一个详细的技术贴,几分钟就能让你看懂! 民用路由器一般用于商务或出差。它们通常用于没有固定网络接入或商务人士外出时的办公网络需求。所以它的功能比较简单,就是纯上网,所以为了看起来更漂亮,就用了低成本...

科技 胜象大百科 2023年03月19日 1
工业级4g路由器用途_4G工业路由器与民用路由之间有什么区别

稻谷重金属检测分析仪器_重金属检测仪十多分钟快速检测检测稻谷重金属

【微生物检测】大米重金属检测仪可以快速检测大米中的重金属含量,十几分钟,是否超标一目了然。现代人生活节奏快,做任何事都讲究效率,尽快出成果。如果人力不能满足,就创造机器来帮我们实现。比如大米重金属的检测,使用大米重金属检测仪,可以很快知道大米是否...

科技 胜象大百科 2023年03月19日 1
稻谷重金属检测分析仪器_重金属检测仪十多分钟快速检测检测稻谷重金属

钢化玻璃为什么强度高_更高强度的钢化玻璃是如何生产出来的

前两天微博里的热搜已经被小张霸占,一直处于“沸腾”状态。 来源:微博热榜小张是谁?到底发生了什么?能引起全网的关注。原来,这是1818黄金眼发布的一条新闻:宁波小伙小张近日正在洗澡,其租住公寓卫生间的钢化玻璃门突然爆裂,导致小张手部受伤。因为无...

科技 胜象大百科 2023年03月19日 1
钢化玻璃为什么强度高_更高强度的钢化玻璃是如何生产出来的

大疆无人机的价格贵吗(大约在什么价位_大疆无人机价格汇总)

未来十年,全球民用无人机总支出将从2015年的7亿美元增长到2024年的16亿美元,总支出将达到100亿美元,约占过去十年无人机总支出的11%,过去十年复合增长率为9.62%。深圳的无人机企业占国内企业的半壁江山,正在向全球无人机产业基地的目标迈...

科技 胜象大百科 2023年03月19日 1
大疆无人机的价格贵吗(大约在什么价位_大疆无人机价格汇总)

Microsoft宣布了其Surface(Book的最新版本即Surface_Book_i7)

纽约——今天,微软宣布了其Surface Book的最新版本,即Surface Book i7。这款新笔记本电脑拥有最初Surface Book的一些最关键的功能,并进行了改进。最值得注意的是新的电池寿命:微软承诺通过新的Surface Book...

科技 胜象大百科 2023年03月19日 1
Microsoft宣布了其Surface(Book的最新版本即Surface_Book_i7)

热门文章